Newsletter 1

2-SAT problem and its polynomial time algorithm

1. What is 2-SAT?

2-SAT (2-Satisfiability) is a special case of the Boolean satisfiability problem. It asks whether there is a way to assign True or False to variables so that a Boolean formula is satisfied. In 2-SAT, each clause has exactly two literals.

Example:
(x1 ∨ ¬x2) ∧ (¬x1 ∨ x3) ∧ (x2 ∨ x3)

  • x1, x2, x3 are Boolean variables.
  • ∨ means OR, ∧ means AND, ¬ means NOT.
  • Goal: assign values to make all clauses true.
  • A clause is satisfied if at least one of its literals is True.
  • A formula is satisfied if all clauses are satisfied.

2. Intuition for algorithm

Each clause involves two variables of the form (a ∨ b).
A clause (a ∨ b) can be rewritten as:

  • ¬a → b (If a is False, b must be True)
  • ¬b → a (If b is False, a must be True)

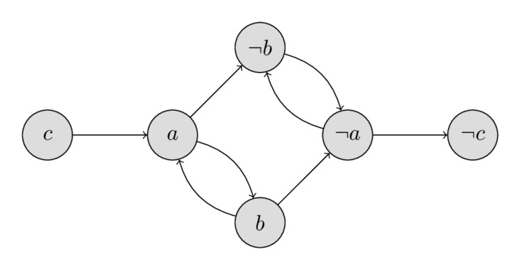
Therefore can be thought as a graph theory problem where:
Nodes: all literals and their negations (a, ¬a, b, ¬b)
Edges: each implication becomes a directed edge
¬a → b
¬b → a

This graph encodes all constraints and dependencies as an edge ¬a → b shows a forced relationship: if ¬a is chosen, b must follow. By following paths along the graph, we can propagate forced assignments across variables.


3. Algorithm to solve 2-SAT

  1. Construct Implication Graph: convert every clause to two implications
  2. Find Strongly Connected Components: use Kosaraju’s or Tarjan’s algorithm.
  3. Check for Contradictions: if a variable and its negation are in the same SCC, the formula is unsatisfiable

Why SCC?

  • SCCs are groups of nodes where every node is reachable from every other node.
  • If a variable x and its negation ¬x are in the same SCC, the implications create a cycle of forced assignments that require x to be both True and False which implies unsatisfiable.
  • If x and ¬x are in different SCCs, we can assign truth values in a topological order to satisfy all clauses.

Logic:

  • If x and ¬x are in the same SCC,
    → contradiction ⇒ UNSATISFIABLE.
  • Otherwise, assign truth values by processing SCCs in reverse topological order:
  • If x’s SCC appears after ¬x’s SCC → assign x = True
  • Else x = False

Code : We will use Kosaraju’s algorithm for SCC finding.

struct TwoSAT {
    int n; // number of variables
    vector<vector<int>> g, gr; // graph and reverse graph
    vector<int> comp, order, assignment;
    vector<bool> used;

    TwoSAT(int vars) {
        n = vars;
        g.assign(2 * n, {});
        gr.assign(2 * n, {});
    }

    // get index of negation
    int neg(int x) { return x ^ 1; }

    // Add clause (a ∨ b)
    // Equivalent to: (¬a → b) and (¬b → a)
    void addClause(int a, int b) {
        g[neg(a)].push_back(b);
        g[neg(b)].push_back(a);
        gr[b].push_back(neg(a));
        gr[a].push_back(neg(b));
    }

    // First DFS (to get order)
    void dfs1(int v) {
        used[v] = true;
        for (int to : g[v]){
            if (!used[to]){
                dfs1(to);
            }
        }
        order.push_back(v);
    }

    // Second DFS (to assign components)
    void dfs2(int v, int cl) {
        comp[v] = cl;
        for (int to : gr[v]){
            if (comp[to] == -1){
                dfs2(to, cl);
            }
        }
    }

    bool solve() {
        int N = 2 * n;
        used.assign(N, false);
        comp.assign(N, -1);

        // Fill order stack
        for (int i = 0; i < N; i++){
            if (!used[i]){
                dfs1(i);
            }
        }

        // Process in reverse order
        reverse(order.begin(), order.end());
        int j = 0;
        for (int v : order){
            if (comp[v] == -1){
                dfs2(v, j++);
            }
        }

        // Check for contradictions
        assignment.assign(n, 0);
        for (int i = 0; i < n; i++) {
            if (comp[2 * i] == comp[2 * i + 1])
                return false; // x and ¬x in same SCC → UNSAT
            assignment[i] = comp[2 * i] > comp[2 * i + 1];
        }
        return true;
    }
}

4. Why do we care?

  • Basic circuital design can be verified using 2-SAT
  • Dependency resolution in software package installation is reduced to 2-SAT
  • Type inference in programming languages can often be reduced to 2-SAT

Time Complexity: $O(m + n)$ due to SCC finding algorithm

Author – Suraj Kagalkar


Intresting reads

1st Read

A clear, high-level overview of 2-SAT: definitions, implication graphs, algorithms and applications.

Read More
Icon 1

2nd Read

A compact, implementation-focused guide (implication graph + SCCs) with code and complexity notes

Read More
Icon 2

3rd Read

“How to solve the 2-SAT problem in POLYNOMIAL TIME?”: A concise video walkthrough showing the implication-graph + SCC method step-by-step.

Read More
Icon 3

4th Read

Algorithm for 2-satisfiability problem: Community Q&A with practical algorithmic tips, pitfalls, and implementation pointers from experienced coders.

Read More
Icon 2

Task

Task #1

Checkout what 3-SAT problem is and why it is one of the hardest problems Checkout NP-hard, NP-complete problems.